Abstract
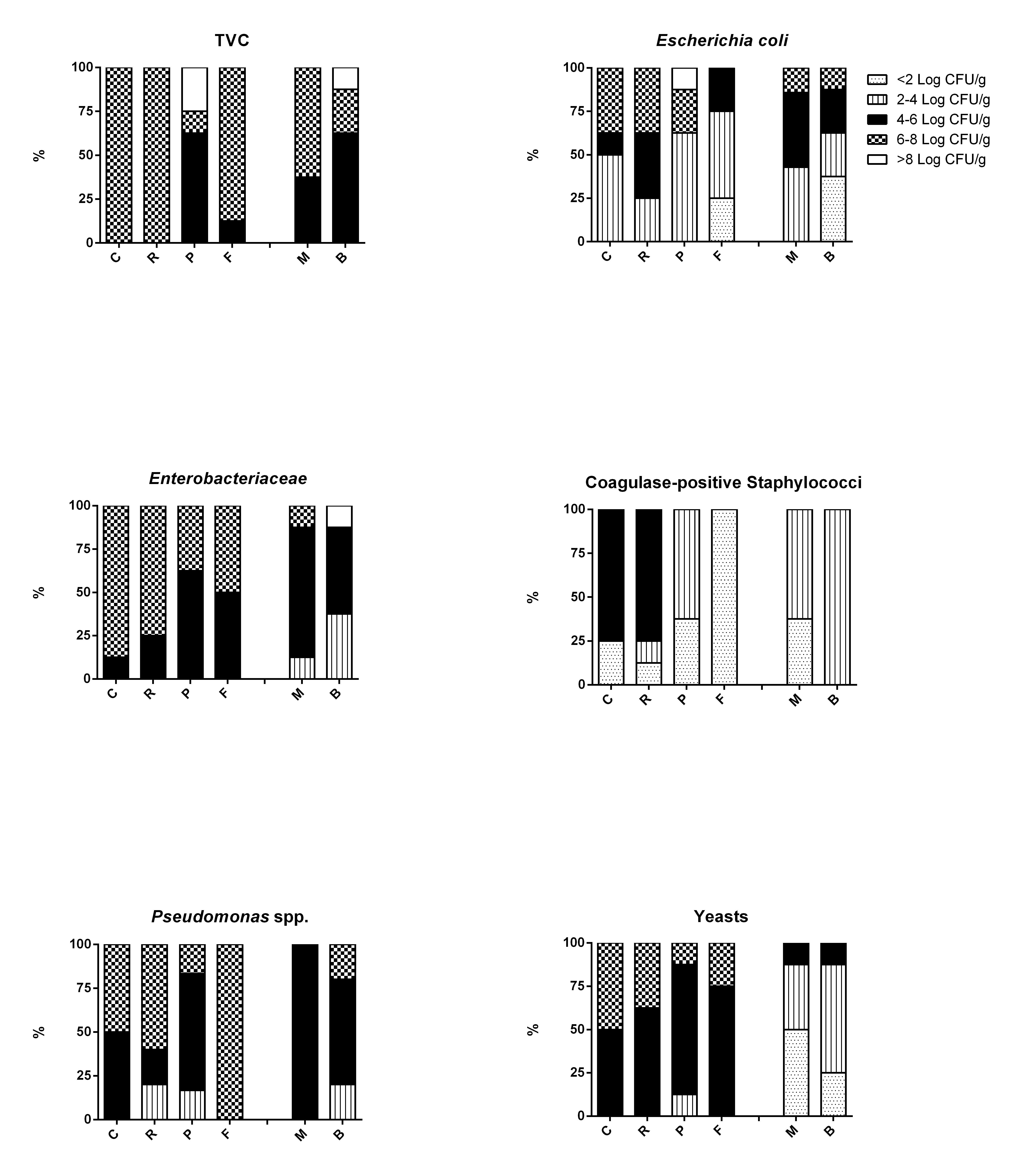
Six types of unripened raw milk fresh (Robiola, Crescenza, Primo sale and Formaggella) and “pasta filata” cheeses (Mozzarella and Burrata) were evaluated for microbiological parameters. No Listeria monocytogenes or Salmonella spp. were detected, but high microbial counts were revealed. Significantly higher Total Viable Counts (TVC) and Enterobacteriaceae counts were observed in “fresh cheese” than in “pasta filata” samples. Values > 6 Log CFU/g were found in 81.3% of fresh vs 50% in pasta filata for TVC and 65.6% vs 12.5% for Enterobacteriaceae, respectively. An evident contamination by Escherichia coli, Coagulase-positive Staphylococci and Pseudomonas spp. was detected in all the cheeses: the causes could be the improper hygiene of the artisanal production practices and the permanence of the cheeses on the refrigerated shelves. A careful attention to the respect of the good manufacturing practices is suggested to avoid the presence of initial high bacterial loads.
References
Association Francaise de Normalisation – AFNOR, 1998. Detection of Listeria monocytogenes and Listeria spp. AFNOR BRD 07⁄04–09⁄98.
Brooks J.C., Martinez B., Stratton J., Bianchini A., Krokstrom R., Hutkins R., 2012. Survey of raw milk cheeses for microbiological quality and prevalence of foodborne pathogens. Food Microbiology. 31, 154-158.
Cardello A.V., Maller O., 1982. Acceptability of water, selected beverages and foods as a function of serving temperature. Journal of Food Science. 47, 1549-1552.
Coia J.E., Johnston Y., Steers N.J., Hanson M.F., 2001. A survey of the prevalence of Escherichia coli O157 in raw meats, raw cow's milk and raw-milk cheeses in south-east Scotland. International Journal of Food Microbiology. 66, 63-69.
D’Amico D., Druart M., Donnelly C.W., 2010. Behaviour of Escherichia coli O157:H7 during the manufacture and aging of Gouda and stirred-curd Cheddar cheese manufactured from raw milk. Journal of Food Protection. 73 (12), 2217-2224.
Dambrosio A., Quaglia N.C., Saracina M., Malcangi M., Montagna C., Quinto M., Lorusso V., Normanno G., 2013. Microbiological quality of burrata cheese produced in Puglia region: southern Italy. Journal of Food Protection. 76, 1981-1984.
De Buyser M.L., Dufour B., Maire M., Lafarge V., 2001. Implication of milk and milk products in food-borne diseases in France and in different industrialised countries. International Journal of Food Microbiology. 67, 1-17.
European Commission, 2007. Reg (EC) N 1441/2007 of 5 December 2007 amending Regulation (EC) No 2073/2005 on microbiological criteria for foodstuffs Official Journal of the European Union. L 322, 7 December 2007.
Fleet G.H., 1990. Yeasts in dairy products. Journal of Applied Bacteriology. 68, 199-211.
Fox P.F., McSweeney P.L.H., Cogan T.M., Guinee T.P. (Eds), 2004. Cheese: Chemistry, Physics and Microbiology, Third edition. Elsevier Academic Press, London, 249.
International Organization for Standardization – ISO, 1999. Microbiology - General guidance for enumeration of Staphylococcus aureus - Colony count technique ISO 6888-1:1999.
International Organization for Standardization – ISO, 2001. Microbiology - General guidance for the detection of Beta-glucuronidase-positive Escherichia coli - Colony-count technique at 44 degrees C using 5-bromo-4-chloro-3-indolyl beta-D-glucuronide ISO 16649-2:2001.
International Organization for Standardization – ISO, 2003. Microbiology of food and animal feeding stuffs – Horizontal method for the enumeration of microorganisms – Colony count technique at 30 degrees ISO 4833:2003.
International Organization for Standardization – ISO, 2004. Microbiology of food and animal feeding stuffs - Horizontal methods for the detection and enumeration of Enterobacteriaceae - Part 2: Colony-count method ISO 21528-2:2004.
International Organization for Standardization – ISO, 2004. Microbiology of food and animal feeding stuffs - Horizontal method for the detection of Salmonella spp ISO 6579:2002/Cor 1:2004.
International Organization for Standardization – ISO, 2008. Microbiology - General guidance for enumeration of yeasts and moulds - Colony count technique at 25 degrees C Part 1: Colony count technique in products with water activity greater than 0,95 ISO 21527-1:2008.
Jayarao B.M., Donaldson S.C., Straley B.A., Sawant A.A., Hegde N.V., Brown J.L., 2006. A survey of foodborne pathogens in bulk tank milk and raw milk consumption among farm families in Pennsylvania. Journal of Dairy Science. 89, 2451-2458.
Lanciotti R., Chaves-Lopez C., Patrignani F., Paparella A., Guerzoni M.E., Serio A., Suzzi G., 2004. Effects of milk treatment with dynamic high pressure on microbial populations, and lypolitic and proteolytic profiles of crescenza cheese. International Journal of Dairy Technology. 57, 19-25.
Latorre A.A., Van Kessel J.S., Karns J.S., Zurakowski M.J., Pradhan A.K., Zadoks R.N., Boor K.J., Schukken Y.H., 2009. Molecular ecology of Listeria monocytogenes: Evidence for a reservoir in milking equipment on a dairy farm. Applied and Environmental Microbiology. 75, 1315–1323.
Mendonça Moraes P., Nogueira Viçosa G., Keizo Yamazi A., Tassinari Ortolani M.B., Nero L.A., 2009. Foodborne pathogens and microbiological characteristics of raw milk soft cheese produced and on retail sale in Brazil. Foodborne Pathogens and Disease. 6(2), 245-249.
Öksüz Ö., Arici M., Kurultay S., Gümüs T., 2004. Incidence of Escherichia coli O157 in raw milk and white pickled cheese manufactured from raw milk in Turkey. Food Control. 15, 453-456.
Oliver S.P., Jayarao B.M., Almeida R.A., 2005. Foodborne pathogens in milk and the dairy farm environment: food safety and public health implications. Foodborne Pathogens and Disease. 2, 115-129.
Ottaviani F., Disegna L., 1987. Muffe e lieviti nei prodotti e negli ambienti caseari. Latte. 12, 779-811.
Ryser E.T., 2001. Public health concerns. In: Marth, E.H., Steele, J.L. (Eds). Applied Dairy Microbiology (2nd ed). Marcel Dekker Inc, New York, 397-546.
Sarais I., Piussi D., Aquili V., Stecchini M.L., 1996. The behavior of yeast population in Stracchino cheese packaged under various conditions. Journal of Food Protection. 59, 541-544.
Schoder D., Kareem A., Baumgartner W., Wagner M., 2003. A case of sporadic ovine mastitis caused by Listeria monocytogenes and its effect on contamination of raw milk and raw-milk cheeses produced in the on-farm dairy. Journal of Dairy Research. 70, 395–401.
This work is licensed under a CC BY-SA 4.0 international
